
It's not much! Filings made in association with a $3.75 million lawsuit include the earnings statement of one of the plaintiffs, the Polish supermodel Anna Jagodzinska. That ledger tallies gigs for American Vogue, Vogue Paris, and an H&M campaign.
Jagodzinska, pictured here in an ad for the jewelry brand David Yurman, is suing her former agency, Next, for allegedly stealing $320,000 of her earnings; her co-plaintiffs are the Estonian Karmen Pedaru, who accuses Next of taking $400,000, and the Pole Anna Cywinska, who says she's out $30,000. These models left Next in April of this year, and are claiming that since then, Next has flatly refused to pay them their money.
There are two main issues in the lawsuit. Each plaintiff is seeking the return of those earnings, plus $1 million in punitive damages. Additionally, the three allege that Next's breach of fiduciary duty was so extensive and so serious that they want the right to open their former agency's books to identify other victims. (Full disclosure: when I modeled, Next was my agency in New York and Los Angeles. After I stopped working, in the summer of 2009, Next paid me my outstanding earnings in full and in what I considered a timely manner.)
To document their claims, Jagodzinska and Pedaru filed at Manhattan Supreme Court copies of the seven-page contracts they signed with Next and assorted other papers. Among them is Jagodzinska's account statement at Next, dated April 23, 2010.
It's pretty interesting:

Click to enlarge
So what does it show? This is not a record of Jagodzinska's full income for the month or for the year — it's just a list of payments that were still pending as of April 23.
Among the jobs Jagodzinska was awaiting payment for were two that dated from May of 2009. You'll see one of those deadbeat clients is Vogue Paris, which had apparently owed Jagodzinska the princely day rate of $125 for just under a year. In addition, American Vogue owed Jagodzinska two payments of $250, one from the previous October and the other from December. Doing a magazine editorial is basically volunteer work; where a model makes her money — if she makes money — is in advertising campaigns (which are rare but extremely lucrative) and catalogs (which are somewhat easier to book and generally offer day rates in the low-to-mid thousands).
To that end, Jagodzinska's biggest pending payments are $60,000 that she's owed by H&M, $35,000 from the creative agency Laird & Partners, which produces ads for a variety of luxury companies (Jagodzinska was in a Bottega Veneta campaign and a Donna Karan campaign around the time of the job, November 2009, both of which were Laird & Partners ads), and a whopping $172,500 from Grey Paris, another production house. Presumably that is for another campaign. She was also in a J. Crew catalog, for which she's owed $15,000.
Among the biggest debits to Jagodzinska's account are $56,675 in agency commission, and federal taxes, which Next calculated at $85,012.50. (Because Jagodzinska is not a U.S. citizen, Next withheld taxes from her pay even though she is legally an independent contractor, not an employee.) Next also charged Jagodzinska $650 for including her in its "show package," or the packet of head shots that agencies mail to casting agents to promote their models just before the start of the runway season. And Next charged Jagodzinska for something marked "IMAGING/WEB-DEC., JAN., FEB.," presumably a cost related to having her portfolio on Next's website, and she was charged for the purchase of magazines. (Agencies buy magazines to rip out editorial photos or "tears" that feature their models.)
Even though things as straightforward as promoting a model to casting agents, keeping her book up to date with tears, and making her pictures available to clients online might seem like basic costs of management, they are billed separately, against what remains of the model's earnings after Next has taken its 20%.
Altogether, miscellaneous costs and taxes reduce Jagodzinska's $233,129.65 to $89,684.50. That's still a nice chunk of change, and in no way typical among models — Jagodzinska's a face of the Gap and Calvin Klein who's been on the cover of American Vogue, remember — but she's still only holding onto a little less than 40% of what she grosses. And even though Jagodzinska is in the black, she can't actually get her $89,684.50 because Next has marked it "Unavailable." Remember, none of the clients have paid yet! If Jagodzinska had wanted that money from Next on April 23, it would have been given only as a loan, for which she'd have paid Next a financing fee up-front of 5% of the total. Remember, that's 5% of a sum from which a 20% commission and Next's other costs have already been deducted.
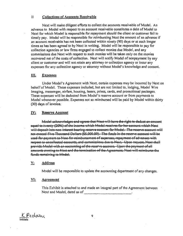
Pedaru signed a three-year contract with Next in in February, 2006. Her contract, as is standard at Next, renewed automatically for additional 12-month terms, absent written notice of termination at least 30 days before each renewal date, and therefore was still in effect in April of this year, when Pedaru broke with her agency. She filed with the court a 2-page document that she received at the time of her contract signing, specifically outlining Next's accounting procedures.
A lot of it's pretty straightforward — models have to get "vouchers" signed by their clients at the conclusion of each gig, to prove that the job took place to the client's satisfaction, and it says that if a client pays a model in cash she still has to pay Next its 20% commission — while other provisions are a little more exotic.

Click to enlarge
Next may or, at its sole discretion, it may not offer models any payments during the interval between when a job is completed and when a client actually pays Next the money for that job, which is known as an "advance." Among jobs ineligible for advances under any circumstances are runway shows and jobs for any client headquartered outside the U.S. And for any job with "clients or customers who have filed for bankruptcy, [or] have credit deemed questionable by Next." (Why should Next be booking its models to work for companies it has reason to suspect won't ever pay? ) And any other jobs Next decrees. "At the request of Model, Next will provide a list of companies for which it will not advance monies," the contract notes. That list isn't included in the court filings, but I at one time did own a copy; all I remember is that BCBG Max Azria was on it.
Once an agency advances a model money for a job, that agency has a pretty strong incentive to chase up the client for payment. Otherwise, the agency will be out the whole amount. But what incentive does an agency really have to get a client to pay up if it hasn't advanced the model her money? Not very much. In that case, the agency is only set to lose the 20% commission it would have made had the payment been made. The agency can still claim its miscellaneous charges from the model's other earnings. The model bears the brunt of the risk.

Click to enlarge
The contract also authorizes Next to make any deductions from its models' accounts for any reason whatsoever. At best, this removes any incentive to keep down such management costs as may be passed on to models — $650 to send some pictures to some casting directors? $100 for magazines? — at worst, it could provide a cover for fraud or skimming. (Those are some very round numbers.)
Next pledges to make "diligent efforts" to collect payments owed by clients, but the contract also states that if a deadbeat client refuses to pay up, the costs of legal representation and/or debt collection will be payable by the model. And the model will still owe Next a 20% commission on whatever sum is recovered (although with uncharacteristic generosity, the agency will only charge commission on the sum recovered minus the costs of recovery).
Next also includes in its standard contract a provision that it be permitted to keep up to $5,000 of a model's earnings in what it calls a "Reserve Account," just in case Next incurs any expenses on the model's behalf at some time in the future. Pedaru isn't subject to this clause — it's crossed out. But in its standard form, this contract binds a model to a management agency that will first take 20% of everything that she earns, then take a bite out of the rest for miscellaneous expenses that it need not inform the model of beforehand or seek her permission for, a management company that may book her on jobs for clients that have a record of non-payment at her sole risk, and then, if she's still in the black after all that — and a lot of newer models, especially those on the hook for the travel costs booked by the agency, and the rent at the models' apartment the agency owns, and the grocery and phone bill money they have to borrow against their future earnings (at a 5% penalty) which agencies call "pocket money," are most assuredly not in the black after the above calculations — if that model is in the black after all that, the first $5,000 left over is the agency's to hold on to. Just in case. Pedaru was three months shy of her 16th birthday when she signed her contract with Next.
The lessons here? Vogue Paris pays crap, Vogue pays not much better, neither of them pays particularly quickly, and campaigns are worth a mint to everyone lucky enough to work on them. And if you are a 5'10" 15-year-old with 34" hips who would like a job where you'll bear all the market risks associated with your labor, be solely responsible for expenses outlayed by others on your behalf without your consent, and maybe meet nice, successful men like Terry Richardson, modeling might just be the ticket.
Earlier: Models Sue Agency For $3.75 Million





